14y+y+yx2 2x
Solve the given differential equation by undetermined coefficients.
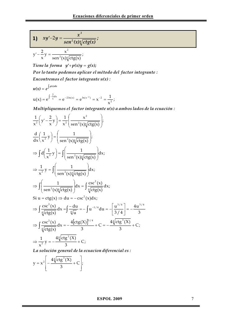
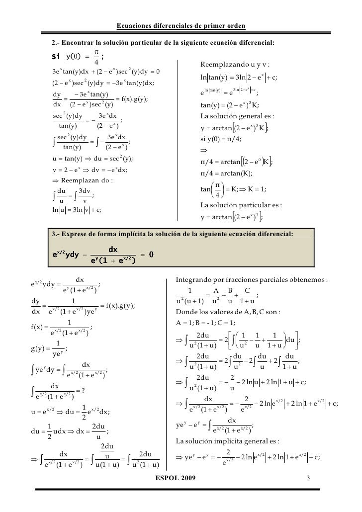
14y+y+yx2 2x. ECUACIONES DIFERENCIALES Unidad 1 Ecuación de Bernoulli A la ecuación diferencial dy P( x) y f ( x) y n dx (1.1) Donde n es un número real cualquiera se le llama ecuación de Bernoulli en. What is a general solution to the differential equation #y'=y/(x^2-1)#?. Dx dy 4x y = 4y 5 actorF integrante:.
Expert Answer 100% (2 ratings) Previous question Next question Get more help from Chegg. 1/4y''+y'+y=x^2-3x 2) solve the given initial-vla. Solve the given differential equation by undetermined coefficent 1/4y''+y'+y=x^2-2x.
Xy0+y= ex y0+ 1 x y= ex x actorF integrante:. Academia.edu is a platform for academics to share research papers. 1/4y'' + y' + y = x^2 − 2x.
Get 1:1 help now from expert Calculus tutors Solve it with our calculus problem solver and calculator. Get 1:1 help now from expert Calculus tutors Solve it with our calculus problem solver and calculator. 1/4y"+y'+y = x^2 - 2x y" + 2y' = 2x + 5-e^2x y"-2y' + 2y = e^2x(cosx-3sinx) Get more help from Chegg.
Purchase An Answer Below flash243. Calculus Applications of Definite Integrals Solving Separable Differential Equations. Stack Exchange network consists of 177 Q&A communities including Stack Overflow, the largest, most trusted online community for developers to learn, share their knowledge, and build their careers.
Cada ecuacion diferencial por variacion de parametros sujetos a las condiciones iniciales y(0) =1, y'(0)= 0 1.- 4y''-y= xe^x/2 2.- y''+2y'-8y= 2e^-2x - e^-x. 1/4y" + y' + y = x 2 - 2x. This problem has been solved!.
Solve the given differential equation by undetermined coefficients. 2 people have bought this answer. Todos los derechos reservados.
Now, we just need the nonho view the full answer. E 14 y dy;. Previous question Next question Get more help from Chegg.
Expert Answer 100% (6 ratings). Solve The Given Differential Equation By Undetermined Coefficent 1/4y''+y'+y=x^2-2x. Y 4 = 1 y4 1 y4 dx dy 1 y4 4x y = 1 y4 4y 5 d dy 1 y4 x = 4y d dy 1 y4 x = 4 yd 1 y4 x= 2y 2 +C x= 2y6 +cy4 6.
Answer to 1) Solve the given differential equation by undetermined coefficients. Ecuaciones diferenciales-Dennis G Zill. The homogenous equation reads y'' + 4y' + 4y = 0 and thecharacteristic equation is a2 + 4a + 4 = (a+2)2 so y = Ae-2x+ Bxe-2x.
Solve the given differential equation by undetermined coefficent 1/4y''+y'+y=x^2-2x Details. 16 February 15, 13:16:. Precios y ofertas sujetos a cambios sin previo aviso.
ED de segundo orden con coeficientes constantes. De nimos la forma lineal.
Http Www Npsd K12 Nj Us Cms Lib04 Nj Centricity Domain 113 7 3 7 4 solving systems by elimination Pdf
2
2
14y+y+yx2 2x のギャラリー

X Y 23 2x 4y X Y 50 X 1 4y X Y 2 X Y 30 Brainly Com Br

Solved Could You Please Solve The Highlighted Questions W Chegg Com

Solucionario Ecuaciones1

3 Which Of The Following Couldn T Be The Solution Of A Differential Equation A Z T 6 Pdf Free Download

Solve The Given Differential Equation By Undetermined Coefficients Y 4 Y Prime Prime 4 X 2 X E X Homework Help And Answers Slader

Class 9 Polynomial 2 Coordinate Geometry Linear Equation In Two Variables Euclid S Geometry Lines And Angles Notes
Taller 1ed Pdf Ecuaciones Diferenciales Ecuaciones

Answers

Solucionario Ecuaciones1

Ecuaciones Diferenciales Capitulo 4 By Omar Torres Issuu

Solved Solve The Given Differential Equation By Undetermi Chegg Com

Exercicios Edo Exercicios De Edo Docsity

Review Of Differentiation Of Differentiation Brief Table Of Integrals 1 1 Cengage Learning Is A Leading Provider Of Customized Learning 4 1 Preliminary Theory Linear

Ap Calculus Ab 06 07 Scribe Post

Exercicios Edo Exercicios De Edo Docsity
Solved Solve The Given Differential Equation By Undetermi Chegg Com
How To Solve Tan X 45 Cot X 45 4 Where X Is Between 0 And 360 Quora

3 Which Of The Following Couldn T Be The Solution Of A Differential Equation A Z T 6 Pdf Free Download

Solved 13 Measurements Of Impact Energy Are Often Used T Chegg Com

7soluciones A Los Ejercicios Y Problemas Pagina Pdf Descargar Libre
k12e1 Cdn Myschoolcdn Com Ftpimages 1065 Misc Misc Pdf
Undetermined Coefficients 4 Video Khan Academy

Solucionario Ecuaciones1

A First Course In Differential Equations With Modeling Applications Pdf Document

Solucionario Ecuaciones1

Second Order Linear Differential Equations Pdf Free Download
k12e1 Cdn Myschoolcdn Com Ftpimages 1065 Misc Misc Pdf

Practice Final
Engineering Mathetic Studocu

Resolucion De Ecuaciones Lineales Parte 1
Pdf Complete Solutions Differential Equations With Modeling Applications Differential Equations With Boundary Value Problems 5th Edition Juan Carlos Becerra Linares Academia Edu

Solve The Differential Equation Or Initial Value Problem Using The Method Of Undetermined Coefficients Y 4y 4y X Sin X Homework Help And Answers Slader
Solved Solve The Given Differential Equation By Undetermi Chegg Com

Answers
Http Www Npsd K12 Nj Us Cms Lib04 Nj Centricity Domain 113 7 3 7 4 solving systems by elimination Pdf
Is75 Org Pdfs Incoming grade 8 scholars summer math Pdf

General Solution Of Y 4y 5y 2y 0 Youtube

A First Course In Differential Equations With Modeling Applications

Solved Exercises 4 4 Answers To Selected Odd Numbered Pro Chegg Com

3 Which Of The Following Couldn T Be The Solution Of A Differential Equation A Z T 6 Pdf Free Download

Solved Problem Set 7 Variation Of Parameters Solve The F Chegg Com
2
Is75 Org Pdfs Incoming grade 8 scholars summer math Pdf

Y 4y E X Find A Particular Solution Differential Equations Youtube
Pdf Ejercicios Resueltos Ecuaciones Diferenciales Juan Carlos Aguilar Castro Academia Edu

Using The Distributive Property Worksheet Printable Worksheets And Activities For Teachers Parents Tutors And Homeschool Families

Solved Solve The Initial Value Problem Y 4y 5y 0 Y 0 Chegg Com
k12e1 Cdn Myschoolcdn Com Ftpimages 1065 Misc Misc Pdf

Practice Final

Bai 3 Phan Tich đa Thức Thanh Nhan Tử A 5 X 3y 15 X 3y C 2x Y 1 4y Y 1 E 3 H U 5x U H

Y 4y 0 Second Order Homogeneous Differential Equation Youtube
Ec Prod Sites S3 Amazonaws Com 2802 Documents 3 8th math cat 1 Pdf

Solucionario Ecuaciones1

Undetermined Coefficients 4 Video Khan Academy

Solved Differntial Equation Please Help Me Y 10y Chegg Com
Uploads Weconnect Com Mce 026db9052e2aca7c1d324dc1e217ea01 7th grade review Pdf

Ex 1 Method Of Undetermined Coefficients To Find The General Solution Exponential Youtube

5 1 4y Y Y X 2 2x Ecuaciones Diferenciales De Coeficientes Indeterminados Youtube

Implicit Differentiation Advanced Example Video Khan Academy

Answers
Uploads Weconnect Com Mce 026db9052e2aca7c1d324dc1e217ea01 7th grade review Pdf
How Can Find The Value Of The Expression 3x 4y If X Y 7and2x 3y 18 With Out Finding Xand Y Maths Homework Help Quora

Exploring Conic Sections Ppt Download

Solucionario Ecuaciones1
Uploads Weconnect Com Mce 026db9052e2aca7c1d324dc1e217ea01 7th grade review Pdf

Higher Order Differential Equations

Solved 3 Solve The Following Differential Equations A 2 Chegg Com

Find The General Solution Of The Given Differential Equation G Is An Arbitrary Continuous Function 4y Y 2 Sec T 2 P T P Homework Help And Answers Slader

Solucionario Ecuaciones1
Is75 Org Pdfs Incoming grade 8 scholars summer math Pdf

Soluciones A Los Ejercicios Y 6 Soluciones A Los Ejercicios Y Problemas 14 Multiplicando Un Numero

Solucionario Ecuaciones1

Me Ayudan A Resolver Esta Ecuacion Con El Metodo De Igualacion Y Sustitucion Por Favor Brainly Lat

Ap Calculus Ab 06 07 November 06

Answers

3 Which Of The Following Couldn T Be The Solution Of A Differential Equation A Z T 6 Pdf Free Download
Quiz4 P Differential Equations Equations
k12e1 Cdn Myschoolcdn Com Ftpimages 1065 Misc Misc Pdf
Solved Solve The Given Differential Equation By Undetermi Chegg Com

How Do You Solve The System 2x 7y 3 And X 1 4y By Substitution Socratic

Exploring Conic Sections Ppt Download
Solved Solve The Following Ode S Y 4y 10e 4x Y 0 Chegg Com

Expressions Equations Exponents Scientific Notation Linear

Ecuaciones Diferenciales De Orden Superior

Solucionario Ecuaciones1

نيرمت Elmi Math توقع A Ggggg A Ggggf Gggfg Ggfgg Gfggg Fgggg 21 رو
2
Quiz4 P Differential Equations Equations

Chapter 4 Linear Equations In Two Variables Ex 4 4
Quiz4 P Differential Equations Equations

The Locus Of The Centres Of The Circles Which Touch The Circle X 2 Y 2 1 Externally Also Touch The

Rd Sharma Class 12 Solutions Maths Chapter 21 Area Bounded Regions Ex 21 4

Solving Systems Of Equations By Substitution Ppt Download
2

Worked Example Range Of Solution Curve From Slope Field Video Khan Academy
2

Fp3 Chapter 1 Hyperbolic Functions Ppt Download



